הפיצול הפוליטי ברשויות המקומיות: סקירת נתונים
פיצול בגוף פוליטי משקף מספר גבוה יחסית של מפלגות בעלות כוח קטן. הפיצול הפוליטי ברשויות הערביות גבוה בהשוואה לרשויות היהודיות ומתבטא במספר גבוה של רשימות המתמודדות למועצה ומכהנות בה לאחר הבחירות וכן בחולשתה היחסית של המפלגה הגדולה ביותר ברשות המקומית. בנוסף, שיעור הקולות המופנים למפלגות שלא עברו את אחוז החסימה בבחירות לשלטון המקומי בישראל גבוה בהרבה מאשר בבחירות לכנסת.
Photo by Roy Alima/Flash90
מידת הפיצול של גוף נבחר, כדוגמת פרלמנט או מועצה של רשות מקומית, משתקפת במספר המפלגות המיוצגות בגוף זה ביחס לגודל הגוף ובגודלן היחסי של המפלגות המכהנות בו. כך למשל, מועצת רשות מקומית המונה 30 חברי מועצה המשתייכים לשתי רשימות היא מועצה שרמת הפיצול הפוליטי בה נמוכה. לעומת זאת, מועצת רשות שבה 30 חברים המשתייכים ל-30 רשימות שונות היא מועצה שרמת הפיצול הפוליטי בה גבוהה מאוד.
דיונים ציבוריים על מידת הפיצול הראויה בגוף נבחר עולים לעיתים בהקשר של הכנסת שינויים בשיטת הבחירות, ובאופן ספציפי ביחס לגובה אחוז החסימה, שיש בו כדי להגביל את מידת הפיצול (ככל שאחוז החסימה גבוה יותר, כך מידת הפיצול המקסימלית שניתן להגיע אליה נמוכה יותר). שיטות ממשל ובחירות שונות נבדלות זו מזו בסוג היעדים שהן מבקשות להשיג, ובייחוד באיזון בין יעדים שעשויים להיות מתחרים ואף מתנגשים. פיצול עשוי לעלות בקנה אחד עם יעד אחד ולפגוע בהשגת יעד אחר, כך שקשה לקבוע קביעה גורפת אם, ועד כמה, פיצול פוליטי כשלעצמו הוא טוב או רע. באופן כללי, נהוג לראות בדיון על פיצול פוליטי חלק מהמתח הכללי בין ייצוגיות לבין משילות.
מבחינה אחת, פיצול פוליטי תורם למשטר הדמוקרטי בכך שהוא מגלם את ערך הייצוגיות. הערך הדמוקרטי של קבלת תוצאות הוגנות במובן של התאמה בין העדפות הבוחרים לזהות הנציגים וייצוג רחב של קבוצות חברתיות, אזורים גיאוגרפיים ותפיסות – מתיישב היטב עם שיטת בחירות יחסית, שהפיצול עשוי להיות תוצר לוואי שלה. משכך, בחברה הטרוגנית (למשל מבחינה דתית או אתנית) פיצול פוליטי נרחב עשוי להיות תנאי ללגיטימיות של השיטה והשלטון בעיני האזרחים – וזוהי מטרה דמוקרטית חשובה נוספת.
מבחינה אחרת, הפיצול הפוליטי עשוי לפגוע במשילות, ביעילות וביציבות השלטונית. התפיסה המקובלת – אם כי השנויה במחלוקת – היא שבגופים נבחרים פיצול פוגע ביעילות השלטונית. הסיבה העיקרית היא שכאשר אין מפלגה אחת מקרב הנבחרים שיש לה רוב בגוף הנבחר, כדי להרכיב קואליציה קבועה או אפילו לגבש רוב אד-הוק להצבעה ספציפית, יש לנהל משא ומתן עם מפלגות אחרות. ככל שהפיצול גדול יותר, הדבר עלול לגזול זמן רב יותר וגם להיות כרוך בעלויות ניכרות, בצורת התחייבויות לחלוקת כוח פוליטי עתידית והבטחת משרות או מתן הטבות כספיות לאוכלוסיות שונות. במצב כזה סיעת השלטון צריכה גם להגיע לפשרה עם סיעות אחרות על המדיניות שהיא מבקשת לקדם, והדבר צפוי להקשות עליה בגיבוש מדיניות קוהרנטית. בשיטות משטר שבהן השלטון תלוי בגוף הנבחר – למשל התלות של הממשלה בכנסת בישראל – פיצול גבוה עלול גם להוביל לחילופי שלטון תכופים ובכך לפגוע ביציבות.חן פרידברג, ניר אטמור ואנה קנפלמן, "שיטת הבחירות בישראל: דיאגנוזה", בתוך: גדעון רהט, שלומית ברנע, חן פרידברג ועופר קניג (עורכים), תיקון שיטת הממשל בישראל, ירושלים: המכון הישראלי לדמוקרטיה, 2013, עמ' 30-22. אשר לשלטון המקומי בישראל, בעבר נטען כי פיצול פוליטי גבוה כרוך בעלויות כלכליות עודפות הנובעות מהצורך של ראשי רשויות לרצות את שותפיהם לקואליציה.אבי בן בסט, מומי דהן ואסטבן קלור, ייצוגיות ויעילות ברשויות המקומיות, ירושלים: המכון הישראלי לדמוקרטיה, 2013.
בכל הרשויות המקומיות בישראל ראש הרשות נבחר באותו האופן, באמצעות שיטת הבחירה הישירה, ואולם שיטת הבחירות למועצת הרשות המקומית ברשויות העירוניות (עיריות ומועצות מקומיות) שונה מזו שנהוגה במועצות האזוריות. ברשויות העירוניות המועצה נבחרת במודל של בחירות רשימתיות-יחסיות, בדומה לבחירות לכנסת: כל תחום הרשות המקומית הוא אזור בחירה אחד, ומכסת המושבים המיועדים לחברי מועצה מתחלקת באופן יחסי לתמיכה הציבורית ברשימות (לפי נוסחה קבועה מראש המתרגמת שיעור קולות למושבים). לעומת זאת, במועצות האזוריות הבחירות למועצה נעשות בצורה של אזורי בחירה, כך שכל יישוב מוגדר כאזור בחירה נפרד שיש לו מספר נציגים מוגדר מראש. בדרך כלל, לכל יישוב במועצה האזורית יש נציג אחד, אך לעיתים יש יותר מנציג אחד, בהתאם לגודל היישוב ולמספר היישובים במועצה, ואופן החלוקה נקבע עבור כל מועצה בנפרד.לפירוט על שיטת הבחירות ראו נחמיה אבנרי, המשפט והמקום: משפט השלטון המקומי בישראל, רעננה: האוניברסיטה הפתוחה, 2020, עמ' 322-317.
בגלל אופיין הייחודי של הבחירות למועצות האזוריות לא מתמודדות בהן רשימות מועמדים כלל-רשותיות. לפיכך, סקירה זו תתמקד בעיריות ובמועצות המקומיות, המהוות לפי נתוני הלשכה המרכזית לסטטיסטיקה 79% מהרשויות המקומיות בישראל, שבהן מתגוררים 89% מתושבי המדינה.
מספר המנדטים הסופי ברשות המקומית, שהוא למעשה מספר חברי המועצה (להלן גם "מספר המושבים במועצה"),למעשה, במקרה שבו רשימתו של ראש הרשות לא זוכה למנדט אחד, נוסף מושב נוסף למועצת הרשות המקומית עבור ראש הרשות, כך שישנם מקרים חריגים שבהם מספר המושבים במועצה גבוה ממספר המנדטים הסופי. נקבע לפי מדרגות של מספר תושבים, מתוך מתן שיקול דעת לשר הפנים לקבוע לפני כל בחירות את המספר המדויק של חברי מועצה בכל רשות מקומית. בגלל הקשר לגודל הרשות מספר המושבים במועצת הרשות עשוי לגדול בין בחירות לבחירות. מספר המושבים במועצת הרשות נע בין 7 ברשויות הקטנות ביותר ל-31 ברשויות הגדולות ביותר (המספר הוא תמיד אי-זוגי). כדי לפשט, בחרנו לחלק את הרשויות לארבע קבוצות לפי מספר המושבים במועצת הרשות: 7 או 9 מנדטים, 11 או 13 מנדטים, 15 או 17 מנדטים ו-19 מנדטים ומעלה. מכיוון שלהלן נתייחס בהרחבה לרשויות ערביות, חשוב לציין כי מספר התושבים הממוצע ברשות ערבית הוא נמוך יחסית לרשויות היהודיות, ולכן ברשויות הערביות מספר המושבים במועצת הרשות הוא, בממוצע, נמוך יותר.לאחר בחירות 2018, מתוך 81 עיריות ומועצות מקומיות ערביות, רק ב-10 רשויות (12%) מספר המושבים במועצת הרשות עומד על 15 ומעלה. ברשויות היהודיות, לעומת זאת, קיים גיוון רב יותר: ב-22 רשויות מספר חברי המועצה עומד על 19 ומעלה, ב-36 רשויות הוא עומד על 15 או 17, ב-29 רשויות הוא עומד 11 או 13, וב-33 רשויות הוא עומד על 7 או 9.
שיטת הבחירה הישירה הנהוגה בשלטון המקומי בישראל היא שיטה שמעודדת, או מגדילה, את הסיכוי לפיצול פוליטי, משום שהיא מאפשרת לבוחר להפריד בין ההצבעה לראש הרשות וההצבעה לרשימה – כלומר, הבוחר יכול להביא לידי ביטוי את העדפותיו בבחירת רשימה ובבחירת ראש הרשות ללא תלות בין השניים. גם ברמה הארצית, בבחירות לכנסת, המעבר לשיטת הבחירה הישירה בבחירות 1996 הביא לעלייה ניכרת בפיצול הפוליטי.עופר קניג ואור טוטנאור, "מדוע המפלגות הגדולות כבר לא גדולות?", פרלמנט 78 (2017), אתר המכון הישראלי לדמוקרטיה.
מאפיין נוסף הקשור לפיצול פוליטי שהרשויות המקומיות נבדלות בו מהכנסת הוא אחוז החסימה. אחוז החסימה בבחירות לכנסת עומד מאז שנת 2014 על 3.9 יחידות של מודד למנדט; כלומר, כדי להיכנס לכנסת מפלגה צריכה לקבל מספר קולות השווה כמעט לארבעה מושבים בפרלמנט. כך, בהגדרה הכנסת אינה יכולה להיות מורכבת מ-120 מפלגות שלכל אחת מהן מושב אחד או מ-60 מפלגות שלכל אחת מהן שני מושבים. לעומת זאת, בבחירות המקומיות אחוז החסימה עומד על 0.75 מהמודד; כלומר, אחוז החסימה נמוך ממושב אחד במועצה, כך שבמקרים מסוימים גם אם רשימה זכתה רק ב-75% מהקולות הנדרשים לשם קבלת מנדט היא תזכה למנדט במועצת הרשות. בהתאם לכך, ברמה התיאורטית בעיריית ירושלים, שבה יש 31 מושבים במועצת הרשות המקומית, המועצה יכולה להיות מורכבת מ-31 רשימות שונות שלכל אחת מהן מושב אחד במועצה.
במסגרת יצירת מסד הנתונים לצורך סקירה זו התבססנו על נתונים על סבבי הבחירות שהתקיימו במועדן בשנים 2003, 2008, 2013 ו-2018. אופן הפרסום של תוצאות הבחירות איננו אחיד בין השנים השונות, ומשום כך המידע המוצג בסקירה מבוסס על אגרגציה של מקורות מידע: קבצים מאוחדים, המכילים מידע על כלל הבחירות; וקבצים נפרדים, הכוללים מידע על התוצאות ברשות אחת. מקור הקבצים הוא פרסומי משרד הפנים, ובחלק מהמקומות נעזרנו גם בפרסומים הרשמיים לגבי תוצאות הבחירות כפי שהופיעו ברשומות משרד המשפטים (ילקוט הפרסומים).
דרך עיקרית לבחון את מידת הפיצול הפוליטי היא השוואת מספר הרשימות המתמודדות, ובעיקר מספר הרשימות הנבחרות, למספר המושבים (מנדטים) במועצת הרשות המקומית. תרשים 1 מלמד כי לאורך השנים חלה ירידה במספר הממוצע של רשימות המתמודדות ברשות מקומית: מ-10.7 בבחירות 2003 עד ל-9.4 בבחירות 2018. מהנתונים שפרסם משרד הפנים לקראת בחירות 2024 ניתן לחלץ את מספר הרשימות המתמודדות עוד לפני הבחירות, ומהם עולה כי מגמת הירידה נמשכת, כך שהמספר הממוצע של רשימות המתמודדות עומד על 9. עם זאת, כמעט שלא חל שינוי במספר הממוצע של הרשימות שנכנסו למועצה, ומשנת 2008 הוא יציב ועומד על כ-6.5, אף שמספר המושבים הכולל עולה במעט בין בחירות לבחירות.
תרשים 2 מלמד כי הפיצול הפוליטי ברשויות הערביות גבוה בהרבה מהפיצול ברשויות יהודיות. כך למשל, בקרב קבוצת הרשויות שמספר המושבים בהן עומד על 7 או 9 מנדטים, מספר הרשימות הנבחרות ברשויות ערביות עומד בממוצע על 6.1, לעומת 3.7 בלבד ברשויות יהודיות (פי 1.6). בקרב קבוצת הרשויות שבהן מספר המושבים עומד על 11 או 13 מנדטים, מספר הרשימות הנבחרות ברשויות ערביות עומד בממוצע על 12, לעומת 8.4 ברשויות יהודיות (פי 1.4). הפיצול הפוליטי הגבוה קשור גם למידת התחרותיות הגבוהה ברשויות הערביות, כפי שהיא מתבטאת בבחינת מספר הרשימות המתמודדות בבחירות (תרשים 2). בשלטון המקומי הערבי מספר הרשימות המתמודדות גבוה מאוד, והוא קרוב מאוד למספר המושבים במועצת הרשות. כלומר, ברשויות הערביות בממוצע מתמודדת רשימה על כל מושב במועצה. זהו למעשה הבסיס הראשוני לפיצול הגבוה. בהקשר זה נציין שבסקירה מחקרית נוספת הראינו כי גם בכל הקשור לבחירות לתפקיד ראש הרשות מידת התחרותיות ברשויות הערביות גבוהה בהרבה, כפי שמשתקף במספר המועמדים, בפערי הקולות ביניהם ובשיעור הבחירות המגיעות לסיבוב שני.איתמר יקיר, אריאל פינקלשטיין ויחיאל נעם, "תחרות פוליטית בבחירות לרשויות המקומיות", אתר המכון הישראלי לדמוקרטיה, 2024.
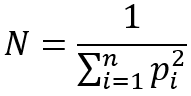
מדד מקובל לבחינה של מידת הפיצול הפוליטי בפרלמנטים הוא המספר האפקטיבי של המפלגות (Effective Number of Parliamentary Parties - ENPP).האינטואיציה העומדת מאחורי מספר המפלגות האפקטיבי היא לשקף באמצעות ערך יחיד לא רק את מספר המפלגות שהצליחו לעבור את אחוז החסימה ולהיכנס לפרלמנט אלא גם את מידת הדומיננטיות שלהן בפרלמנט. כך למשל, אם משווים שני פרלמנטים שאליהם נכנסו 5 מפלגות, בפרלמנט א החלוקה היא אחידה לחלוטין כך שלכל מפלגה 20% מהמושבים, ובפרלמנט ב חלוקת המושבים היא 40%-45%-5%-5%-5%. מספר המפלגות האפקטיבי בפרלמנט א הוא 5 – ואכן ניתן לומר שישנן 5 מפלגות דומיננטיות, או שוות בכוחן, בפרלמנט. לעומת זאת, בפרלמנט ב המספר האפקטיבי הוא 2.7 – מספר זה, הקרוב ל-2, משקף את העובדה שישנן שתי מפלגות דומיננטיות והשאר הן מפלגות קטנות שכוחן מוגבל. מספר המפלגות האפקטיבי בפרלמנט כלשהו שווה ל-1 חלקי סכום הריבועים של החלק היחסי של כל רשימה בפרלמנט. ובאופן פורמלי:

בדמוקרטיות הפרלמנטריות מספר המפלגות האפקטיבי נמצא לרוב בערכים שבין 3 ל-5. כך למשל, בכנסת הנוכחית (הכנסת ה-25) מספר המפלגות האפקטיבי הוא 6.51, ערך גבוה יחסית, אף שבמדינות אחדות הוא גבוה יותר. ניתן להשתמש במדד זה גם לבחינה של מידת הפיצול במועצות של רשויות מקומיות, אם כי בשל מספר חברי המועצה הנמוך יחסית רגישותו של המדד שונה מרגישותו כאשר הוא מיושם במקרה של פרלמנטים גדולים. בנוסף, כאמור, שיטת הבחירה הישירה לתפקיד ראש הרשות הנהוגה בשלטון המקומי בישראל מעודדת פיצול פוליטי גדול יותר, וכך גם אחוז החסימה הנמוך.
בתרשים 3 מוצגים הנתונים על מספר המפלגות האפקטיבי בשלטון המקומי בישראל. התרשים מראה שברשויות ערביות הערכים גבוהים בהרבה מברשויות יהודיות, כלומר מידת הפיצול בהן, גם לפי מדד זה, גבוהה מאוד בהשוואה לרשויות היהודיות.
תרשים 1. מספר הרשימות המתמודדות והרשימות הנבחרות, בחירות 2024-2003
תרשים 2. מספר הרשימות המתמודדות והרשימות הנבחרות לפי מגזר ולפי ומספר המושבים במועצה, בחירות 2018-2003
תרשים 3. מספר אפקטיבי של מפלגות בשלטון המקומי בישראל (מדד ENPP) לפי מגזר ולפי ומספר המושבים במועצה, בחירות 2018-2003
עוד היבט חשוב בבחינה של מידת הפיצול הפוליטי הוא עוצמתה היחסית של הרשימה הגדולה ביותר במועצת הרשות המקומית, בפרט משום שבמקרים רבים מדובר ברשימתו של ראש הרשות הנבחר, שנדרש להקים קואליציה. תרשים 4 מראה כי מספר המנדטים הממוצע ברשימה הגדולה ביותר במועצות הרשויות המקומיות עלה באופן ניכר בין בחירות 2003 לבחירות 2008, ולאחר מכן שמר על יציבות יחסית. בתרשים 5 ניתן לראות שמספר המנדטים הממוצע של הרשימה הגדולה ביותר ברשויות יהודיות גבוה בהרבה בהשוואה לרשויות ערביות. לאחר בחירות 2018 מספר זה עמד על כ-5 ברשויות היהודיות, לעומת כ-3 ברשויות הערביות.
בהתחשב בכך שמספר המנדטים של הרשימה הגדולה ביותר תלוי במספר המושבים במועצת הרשות המקומית, שהוא נמוך יותר ברשויות ערביות, בדקנו גם את הנתונים ביחס למספר המנדטים הכולל ברשויות, כפי שמוצג בתרשים 6. גם בהתחשב בחלוקה זו ניתן לראות שמספר המנדטים הממוצע של הרשימה הגדולה ביותר גבוה בהרבה ברשויות יהודיות בהשוואה לרשויות ערביות. כך לדוגמה, ברשויות יהודיות שבהן מספר המושבים במועצה עומד על 7 או 9 מספר המנדטים הממוצע של הרשימה הגדולה עומד על 3.99, בהשוואה ל-2.56 ברשויות ערביות; וברשויות שבהן מספר המושבים עומד על 11 או 13 מספר המנדטים הממוצע של הרשימה הגדולה עומד על 4.08 ברשויות יהודיות, בהשוואה ל-2.92 ברשויות ערביות. ממצאים אלו מלמדים על החולשה היחסית של הרשימות הגדולות ברשויות ערביות, והם משקפים היבט נוסף של הפיצול הפוליטי הגבוה השורר בהן.
בתרשים 7 מוצגים מספרי המנדטים של הרשימה הגדולה ביותר במועצה בחלוקה לפי הדירוג החברתי-כלכלי של הרשויות המקומיות ברשויות יהודיות (כמעט כל הרשויות הערביות הן בדירוג נמוך ולכן הושמטו מניתוח זה). מהתרשים בולטת העובדה שברשויות מאשכול חברתי-כלכלי נמוך המפלגה המובילה היא דומיננטית יותר בהשוואה למפלגה המובילה במועצות של רשויות מאשכולות גבוהים יותר.
תרשים 4. מספר המנדטים הממוצע של הרשימה הגדולה ביותר במועצת הרשות המקומית, בחירות 2018-2003
תרשים 5. מספר המנדטים הממוצע של הרשימה הגדולה ביותר במועצת הרשות המקומית לפי מגזר, בחירות 2018-2003
תרשים 6. מספר המנדטים הממוצע של הרשימה הגדולה ביותר במועצת הרשות המקומית לפי מגזר ומספר המושבים במועצה, בחירות 2018-2003
תרשים 7. מספר המנדטים הממוצע של הרשימה הגדולה ביותר ברשויות היהודיות, לפי מספר המושבים במועצה ודירוג חברתי-כלכלי, בחירות 2018-2003
היבט אחר של הפיצול הפוליטי הוא הרשימות שלא זכו אף לא למנדט אחד במועצת הרשות המקומית, כפי שמוצג בתרשים 8. ניתוח הנתונים מלמד כי ברשויות ערביות יש שיעור גבוה יחסית של רשימות שלא הצליחו לזכות במנדט במועצה, 33%, לעומת 25% ברשויות יהודיות. עם זאת, בתרשים 9 ניתן לראות ששיעור הקולות ה"מבוזבזים", כלומר הקולות שניתנו לרשימות שלא נכנסו למועצה, זהה ברשויות היהודיות והערביות (9%).
ככל הנראה, סיבה מרכזית לפער זה היא הרגל שרווח בעיקר ברשויות ערביות: על פי החוק, במקרה שהרשימה שבראשה עמד ראש הרשות הנבחר לא זכתה במנדט, למועצת הרשות המקומית מתווסף מושב עבור ראש הרשות. מלכתחילה חוק זה נועד למקרים חריגים, אך במרבית הרשויות הערביות ראשי הרשויות (וככל הנראה גם חלק מהמועמדים לתפקיד ראש הרשות) מתמודדים מלכתחילה ברשימה שלא נועדה למשוך קולות,על מנת להתמודד לבחירות לתפקיד ראש הרשות, יש חובה להתמודד גם במסגרת רשימת מועמדים למועצה. ובמקביל מתמודדת רשימה אחרת שנחשבת לרשימה המזוהה עימם. בבחירות 2018, מתוך 78 עיריות ומועצות מקומיות ערביות שנערכו בהן בחירות, ב-52 (67%) רשימתו של ראש הרשות לא נכנסה למועצה, ולמעשה קיבלה קולות ספורים (ברוב המקרים היה מדובר במספר חד-ספרתי של קולות). באופן זה ראש הרשות "מרוויח" מושב נוסף במועצה, וכוחו הפוליטי גדל. תופעה זו גורמת לניפוח מלאכותי של מספר הרשימות המתמודדות.
נוסף על כך, ניתן לראות שככל שהדירוג החברתי-כלכלי של הרשות נמוך יותר, כך שיעור הרשימות שלא נכנסו למועצה גבוה יותר, וכן שככל שמספר התושבים גבוה יותר, כך שיעור הרשימות שלא זכו במנדט גבוה יותר.
תרשים 8. שיעור הרשימות שלא זכו למנדט במועצת הרשות המקומית (ממוצע), לפי מגזר, דירוג חברתי-כלכלי ומספר תושבים, בחירות 2018-2003
תרשים 9. שיעור הקולות שקיבלו רשימות שלא זכו למנדט במועצת הרשות המקומית (ממוצע), לפי מגזר, דירוג חברתי-כלכלי ומספר תושבים, בחירות 2018-2003
תרשים 10 מציג נתונים על סך הקולות ה"מבוזבזים" — קולות שקיבלו רשימות שלא עברו את אחוז החסימה בבחירות המקומיות, בהשוואה לבחירות הארציות. התרשים מלמד על ירידה הדרגתית בשיעור הקולות ה"מבוזבזים" בבחירות המקומיות, מ-11.8% בבחירות 2003 ל-8.2% בבחירות 2008. עם זאת, לאורך השנים שיעור הקולות ה"מבוזבזים" בבחירות המקומיות גבוה בהרבה מאשר בבחירות לכנסת, שבהן שיעור הקולות ה"מבוזבזים" היה נמוך מ-5% ברוב המקרים.
לכאורה נתון זה מפתיע שהרי, כאמור, אחוז החסימה בבחירות המקומיות נמוך בהרבה מאשר בבחירות הארציות, כך שהציפייה היא שפחות קולות מתחת לאחוז החסימה "יתבזבזו", אך ייתכן שאחוז החסימה הנמוך עצמו הוא דווקא הסיבה לממצא זה. לפי הסבר זה, כשאחוז החסימה גבוה יותר, הציבור והפוליטיקאים נוטים להתארגן בהתאם, כך ששיעור הקולות "המבוזבזים" אינו גבוה. לעומת זאת, כשאחוז החסימה נמוך מאוד, כמו בבחירות המקומיות, יותר רשימות מנסות את מזלן ויותר אנשים מתפתים להצביע לרשימות כאלה, בתקווה שיעברו את אחוז החסימה. הסבר אחר לשיעור הגבוה של קולות "מבוזבזים" בשלטון המקומי נוגע למידת המודעות של התושבים לכוחן האמיתי של הרשימות. בבחירות לכנסת נערכים סקרים מקיפים המאפשרים למצביעים להבין את כוחה היחסי של כל מפלגה, ואם היא צפויה לעבור את אחוז החסימה, כך שמצביעים רבים בוחרים שלא להצביע למפלגה שסיכוייה נמוכים. לעומת זאת, בבחירות המקומיות לא מתקיימים סקרים כאלה, כך שלמצביעים קשה לדעת מהם הסיכויים של הרשימות השונות לעבור את אחוז החסימה.
תרשים 10. שיעור הקולות שקיבלו רשימות/מפלגות שלא זכו למנדט במועצת הרשות המקומית ובכנסת, בחירות מקומיות וארציות 2021-2003
בסקירה זו עמדנו על מידת הפיצול הפוליטי השורר בשלטון המקומי בישראל. הממצא הבולט העולה מהסקירה הוא שהפיצול הפוליטי ברשויות הערביות גבוה בהשוואה לרשויות היהודיות, והוא מתבטא במספר גבוה של רשימות המתמודדות למועצה והמכהנות בה לאחר הבחירות, וכן בחולשתה היחסית של המפלגה הגדולה ביותר ברשות המקומית.
ניתוח מעמיק של הסיבות לכך חורג מתחומה של סקירה זו, אך ניתן להצביע על כיוונים ראשוניים. נראה שהעובדה שברשויות הערביות ניתן משקל משמעותי להצבעה לפי חמולה-משפחה תורמת לריבוי הרשימות הנכנסות למועצה, בייחוד ברשויות שמורכבות ממספר רב של חמולות, כך שלכל אחת מהן יש ייצוג מינימלי במועצת הרשות המקומית. לכך ניתן להוסיף גם את העובדה, כפי שהראינו בסקירה מחקרית אחרת, שברשויות הערביות רק ל-8% מהרשימות יש זיקה למפלגה ארצית, לעומת 38% מהרשימות ברשויות היהודיות.אריאל פינקלשטיין, אסף הימן ויחיאל נועם, "רשימות הבת: כוחן של המפלגות הארציות בשלטון המקומי", אתר המכון הישראלי לדמוקרטיה, 2024. רשימות בעלות זיקה למפלגות ארציות מצליחות בממוצע יותר מרשימות עצמאיות, כך שייתכן שהיעדר הזיקה למפלגות ארציות ברשויות הערביות מגביר את הפיצול הפוליטי. ייתכן גם שמידת הפיצול הפוליטי משקפת את העובדה שבחברה הערבית מיוחסת חשיבות גבוהה יותר לבחירות המקומיות, כפי שמלמדים שיעורי ההצבעה הגבוהים ברשויות הערביות. לאור חשיבות זו ניתן להבין את ריבוי הרשימות והמועמדים לתפקיד ראש הרשות.